موقع نحلة للنحالين العرب موقع نحلة للنحالين العرب موقع نحلة للنحالين العرب
   الصفحة الرئيسية           المـقـالات            أخبار النحالة            بحوث حديثة           الــصـــور            المـجـلــة   
العلاج النحلي apitherapy
العلاج بالعسل
أرسل لنا مقالاً أو
صورة لنشره في الموقع

التداوي بالعسل ومنتجات النحل
الدكتور أسامة عبد الرحمن
من كتاب نصائح طبيب
 


العسل ومنتجات النحل ( التي كانت ومازالت وستظل غذاء ووقاية وعلاج وشفاء للناس ) قال تعالى :  وَأَوْحَى رَبُّكَ إِلَى النَّحْلِ أَنْ اتَّخِذِي مِنْ الْجِبَالِ بُيُوتًا وَمِنْ الشَّجَرِ وَمِمَّا يَعْرِشُونَ ثُمَّ كُلِي مِنْ كُلِّ الثَّمَرَاتِ فَاسْلُكِي سُبُلَ رَبِّكِ ذُلُلا يَخْرُجُ مِنْ بُطُونِهَا شَرَابٌ مُخْتَلِفٌ أَلْوَانُهُ فِيهِ شِفَاءٌ لِلنَّاسِ إِنَّ فِي ذَلِكَ لآيَةً لِقَوْمٍ يَتَفَكَّرُونَ  النحل. فمن الإعجاز العلمى والطبى لهذه الآية الكريمة ( والله أعلم ) : عدم التصريح بأن مايخرج من بطون النـحل هوالعسل فقط ( الذى تختلف ألوانه باختلاف تركيبه ونسبة الرطوبة فيه وتركيزات محتوياته من فيتامينات وأملاح معدنية وإنزيمات وأحماض عضوية ومواد عالقة ، والتي يرجع إليها صفاته الفيزيائية والكيميائية ، ويظهر ذلك في اختلاف رائحته وطعمه ونكهته ، وأيضاً في الكثافة والقلوية والتبلور وبالتالى تأثيره على علاج الأمراض المختلفة ، والتركيب الكيميائى للعسل يعتمد إلى حد ما على النباتات التى تغذى عليها النحل وعلى التربة التى تغذت منها هذه النباتات ، وكذلك على الظروف الجوية واختلاف الفصول ، وأيضاً على كثافة النحل واختلاف سلالاته ).




العسل منتج طبيعي يجري تحضيره من قبل النحل واستعمل منذ آلاف السينين كمادة طبية ومكمل غذائي, وهو معروف للاستعمال في مجال واسع من المجالات ويمكن أن يستعمل كعامل مضاد للالتهاب ولعلاج الجروح. هذه الفعالية الحيوية معروفة قليلاً أكثر من كونه مضاد بكتيري، مضاد أكسدة وأية فعالية حيوية أخرى. أفادت العديد من الدراسات وبينت أن العسل يطبق على الجروح حيث يشاهد تناقص في الالتهاب وتحسن في الشفاء. هناك دلائل كثيرة على فعاليات مضادة للالتهاب وشفاء الجروح بالعسل في المنشورات الطبية وفي المجلات الطبية والعلمية الحديثة. حقيقة آلية الفعل المضاد للالتهاب وشفاء الجروح بالعسل تحتاج للكشف. قد تكون هناك عدة آليات للتأثير, هناك أيضا مقولة مهملة عن تأثير جانبي للعسل. يركز هذا القول على مكونات العسل المشاركة في الفعل المضاد للالتهاب، الآلية المحتملة للتأثير، خواص العسل المسؤولة عن فعاليته في علاج الجروح وتأثيراته العكسية. عموماً، يبين الاستعراض الدليل والشرح خواص العسل المضادة للالتهاب وعلاج الجروح.[1]


هناك اهتمام متجدد بالاستعمال الطبي للعسل، بما فيه استعماله في علاج الجروح والحروق المخموجة.في دراسة لتقدير الفعالية العلاجية لعسل حنّون الليبي على نمو البكتريا البطيئة النمو في الشيموستات chemostat استعملت أربعة تركيزات للعسل (من 5 بالمئة إلى 30 بالمئة مقارنة بأربعة مضادات حيوية ( الأمبيسيلين، التيتراسيكلين، البروميليكسين والسيبروفلوكساسين). وجد أن التأثير المضاد للبكتريا للعسل يعتمد على تركيزه وعلى الوقت. وقد لوحظ الفعل المضاد للبكتيريا حتى في التركيزات المنخفضة مما يبين أن للعسل تأثير على البكتيريا البطيئة النمو أعلى من فعل الصادات الحيوية. لذا تقترح الدراسة أنه يمكن الحصول على تثبيط أقوى عند تركيزات أعلى للعسل. لهذه النتائج أهمية في التطبيق الصحي مثل علاج مرضى الحروق والجروح.[2]

المملكة المتحدة تعتمد استعمال العسل كعلاج. البطلة الأولمبية فيكتوريا تجزم أنها تخلصت من الزكام بالعسل، كما استعملت التغطية بالعسل (وهنا كان عسل المانوكا) لعلاج الجروح. طورت شركة برايتويك في نوتنجهامشاير ضمادة جديدة بالعسل لتستعمل لعلاج القروح والجروح في حالة الجراحة. عسل مانوكا معروف كمطهر طبيعي. الضماد المقترح له طبقة سيليكون لمتنع التصاقها بجسم المريض، وستطرح في المؤتمر السنوي للجروح في هاروجات في المملكة المتحدة الأسبوع القادم.[3]

المجموعة الطبية للملكة المتحدة (بريطانيا) تنصح بالعسل والليمون بدلاً عن أدوية السعال وتعتبر أدوية السعال إهداراً للمال. أخرجت الكلية الملكية للممارسين العامين نصيحة تقول أن هناك دليل ضعيف لاقتراح أدوية سعال لها أي تأثير. الدكتور تيم بالارد، نائب الرئيس يقول:"الدليل الطبي لأدوية السعال ضعيف ولا يوجد دليل للقول أنها ستقلل من معاودة المرض، لذلك من غير المرغوب وصفها". تكلف زجاجة دواء السعال الصغيرة 3-5 جنيهات وتصل مبيعاتها لـ 3 بليون جنيه في السنة في بريطانيا. تشير منظمة الصحة العالمية إلى أن أبسط وأرخص علاج للسعال القصير الأمد قد يكون وصفة منزلية تحتوي على الليمون والعسل.[4]


يقوم عدد من الدول بإجراء أبحاث ودراسات على أنواع العسل المنتجة فيها لإثبات فعاليات طبية معينة، وأشهرها نيوزيلاندا التي تروج كثيراً لعسل المانوكا المنتج لديها من رعي النحل على أشجار المانوكا التي تنمو لديها بمساحات كبيرة. وهي تنصح باستعمال عسل المانوكا للمشاكل الهضمية والتهاب الحلق وحمى القش وحتى للبكتريا (MRSA) المقاومة للأدوية .[5]

بهدف تأمين الإمدادات بعسل المانوكا، قامت شركة كومفيتا التي تنتج مواد صحية تعتمد على عسل المانوكا بالتعاقد مع مؤسسة أراضي شرق تاوبو في نيوزيلاندا. ستبدأ الشركة بـ3000 خلية نحل وستقدم معدات تربية النحل ونظم الإدارة بينما ستقدم المؤسسة الأرض. وهكذا، بينما كانت أشجار المانوكا في أرض الماوري تقطع كحطب للحرق تتميز جهود الشركة لإنتاج قيم من عسل المانوكا.[6]

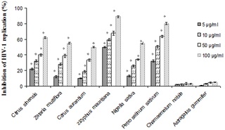
في إيران درست فعالية ثمانية أعسال أحادية المصدر في علاج الأيدز HIV-1 وكذلك تأثيرها على الجهاز الليمفاوي. وقد استعملت في الدراسة خلايا لمفاوية مأخوذة من أشخاص أصحاء. وأظهرت النتائج أن الأعسال الناتجة من أزهار نباتات الـ.Petro selinum sativum, Nigella sativa, Citrus sinensis, Zataria multiflora, Citrus aurantium and Zizyphus mauritiana أبدت فعالية ضد فيروس الـHIV-1 عند قيمة نصف التركيز الأعظمي (EC50) تعادل 37.5, 88, 70, 88, 105 و 5 µg/ml بالترتيب. لكن الأعسال الإيرانية من أزهار نباتات الـAstragalus g وifer and Chamaemelum nobile كانت ضعيفة التأثير على HIV-1. كما كان مؤشر CD19 (B-lymphocyte antigen) مرتفعاً بعد العلاج بعسلي نباتي الـZ.multiflora and N. sativa. بوجود كل أنواع العسل يزداد تكرار وشدة ظهور العامل CD4 (protein is encoded by the CD4 gene). المرجع[7]

وجدت دراسة مخبرية على الفئران تأثيرات وقائية لعسل جيلام الماليزي ضد ضرر المؤكسدات التدميري على المادة الوراثية سواء للفئران الفتية أو المسنة. يعزى هذا التأثير لتعديل المؤكسدات لفعالية الأنزيمات المضادة للأكسدة.[8]

توصلت دراسة طبية أميركية إلى أن معالجة القروح السكرية بالعسل قد يحول دون بتر أطراف المصابين بالسكري . فقد أجرت باحثة في (جامعة ويسكنسون) اختبارا للتشجيع على استعمال العلاج بالعسل على نطاق واسع ، وذلك بعدما ساعدت نحو 12 من مرضاها على تجنب بتر أرجلهم . ويتمثل هذا العلاج في وضع طبقة كثيفة من العسل على التقرحات بعد إزالة اللحم المتآكل والجراثيم . وقالت الباحثة البروفيسورة / جينيفر إيدي - وهي من (كلية الطب والصحة العامة) في (جامعة ويسكنسون) - : " إن العسل يقتل الجراثيم لأنه يمنع الجرثومة من تعزيز مقاومتها للمضادات الحيوية ". وأشارت إيدي : " إن هذه المسألة بالغة الأهمية للصحة العالمية .. إذ أنه يتم إجراء عملية بتر كل 30 ثانية في العالم ". وأكدت الباحثة أنها لجأت إلى العلاج بالعسل بعدما فشلت كل العلاجات الأخرى ، وقالت : " إننا أوقفنا إعطاء المرضى بالسكري جميع المضادات الحيوية عندما بدأنا العلاج بالعسل، وحينها بدأت جراحهم تلتئم بسرعة". تطبيق العسل على جروح السكريين بدأ حديثاً. حيث من المعروف أن العسل علاج طبيعي للجروح، وهو حتى يعمل أكثر كفاءة على جروح السكريين. بالإضافة، من المعروف أن العسل عقار "كل في واحد" بالنسبة لعلاج جروح السكريين لأنه يستطيع أن يكبت الكثير من الأحياء الدقيقة التي تشارك في الخمج وتعمل كمضاد أكسدة وتشفي الإلتهاب.[9]


أستراليا تبحث عن العسل الفعال علاجياً. عسل المانوكا قد يكون الذهب السائل. فقد حقق النحالون الأستراليون اختراقاً بوصول سعر كيلوغرام العسل إلى 30 جنيهاً بعد أن عرف أن العسل المنتج من مختلف أصناف المانوكا الأسترالية يملك خواص مضاد بكتيري. يزداد باستمرار استعمال العسل لعلاج الجروح والعدوى الجلدية نظراً لخواصه المضادة للبكتريا وقدرته العلاجية بما في ذلك الستاف الذهبية Golden Staph، إي كولاي E-coli والجراثيم التي أصبحت الآن لا تعالج بالمضادات الحيوية الحديثة. أساساً، معظم العسل الطبي يأتي من نيوزيلانداحيث يوجد نوعان من شحرة المانوكا Leptospermum التي تمثل استثماراً يقدر بـ 75 ميليون دولار. هذا يشبه زيادة تقدر ببليون دولار في العشر سنوات القادمة. لدى أستراليا 83 صنفاً آخر من المانوكا تترك المجال مفتوحاً للنحالين لينموا مدى منفعتهم إذا ما استطيع تحديد أية أنواع تعطي العسل الأكثر فعالية طبياً وأين توجد في أستراليا. يقود البحث المعهد الثالث في جامعة التكنولوجي بسيدني (UTS) الممول من هيئة تنمية وتطوير الصناعات الريفية وعدة جهات أخرى.[10]

في دراسة مقارنة للفعالية ضد البكتيريا لعسل المانوكا ضد بكتيريا E.faecalis و E.coli . وجد أن القيمة الوسطية للفعالية ضد البكتيريا المذكورة هي 0,36 و1,55 بالترتيب، وهي نسياً أعلى. واستنتج أن عسل المانوكا أظهر تعقيماً ممكناً لقناة الجذر ضد البكتيريا الموجبة للغرام والسالبة للغرام لدى المرضى.[11]

بما أن علاج اللوكيميا يترافق علاجها الكيميائي مع تأثيرات جانبية بالإضافة لكونها مكلفة، فقد أجريت دراسة حول تأثير العسل على لوكيميا الأطفال المشخصة على أنها Febrile neutropenia (FN) بدلاً من العلاج الكيميائي. فالعسل رخيص نسبياً وله تأثيرات كمضاد أكسدة، مضاد مكروبي ومضاد سرطان. هدفت الدراسة تقييم تأثيرات استهلاك العسل مدة 12 أسبوع على الأطفال المصابين باللوكيميا الليمفوبلاستيك lymphoblastic leukemia (ALL) المزمنة وتحديداً بما يتعلق بعواقب Febrile neutropenia. كانت الجرعة المعطاة بمقدار 2,5 غ لكل كغ من وزن الطفل مرتان في الأسبوع. التغييرات المقاسة هي انخفاض معتبر في عواقب المرض ومدة البقاء في المستشفى. أكثر من ذلك كانت التغييرات تحسن مستويات الهيموغلوبين وعدم حدوث أية أعراض جانبية. هذه الدراسة الكلينيكية الصغيرة تقترح أن استهلاك العسل له تأثيرات إيجابية على مرض اللوكيميا Febrile neutropenia ومستويات الهيموجلوبين لدى الأطفال.[12]


قام علماء جامعة وايكاتو بالكشف عن أسرار أشجار المانوكا ونشروا نتائج دراستهم في مجلة كيمياء الزراعة والغذاء. قاموا بمسح أزهار أشجار المانوكا حول نورث آيلاند. تختلف أشجار المانوكا بمدى قابليتها في إنتاج عسل نشيط حيوياً. ترجع فاعلية عسل المانوكا إلى احتواء رحيقها على مادة هي "ديهيدروكسي أسيتون (دهـ أ)". ليست كل أشجار المانوكا تنتج نفس الكمية من (دهـ أ). أمضى فريق عسل وايكاتو السنوات القليلة الماضية قي مسح أشجار المانوكا حول نورث آيلاند مختبرين وجود مادة (دهـ أ) في رحيق أزهارها. خلال الدراسة صنف الباحثون الرحيق إلى غني ومتوسط وفقير حسب احتوائه على مادة الـ(دهـ أ). كانت الفروق بين هذه الدرجات مختلفة للشجرة الواحدة بين سنة وأخرى في بعض الأماكن كما لوحظت اختلافات بين المناطق في نورث آيلاند. كان الأكثر وضوحاً أن الأشجار التي توجد في حدود قطر 100م تختلف في محتواها من مادة الـ(دهـ أ) بين ضعيفة وغنية.[13]

في بولندا درسوا عينات من أنواع عسل الأعشاب لديهم ووجدوها تتميز بفاعلية ضد البكتريا. كانت 8 عينات من عسل الأعشاب وثلاث عينات من عسل الزهور. اختبروا تأثيرها ضد البكتيريا الموجبة للغرام (Bacillus cereus, Staphylococcus aureus, Staphylococcus schleiferi) والسالبة للغرام (Escherichia coli) وعلى الفطر الممرض الكانديدا (Candida albicans). أظهرت مستخلصات الإثير لأعسال الأعشاب اختلافات واضحة في تركيبها ولكن المجموعات الرئيسية التي وجدت في المستخلصات كانت الفينولات و أحماض الأليفاتيك هيدروكسي المألوفة في الغذاء الملكي وأحماض ديكاربوكسيل غير مشبعة. رغماً عن الاختلافات في التركيب الكيميائي، لوحظت فعالية لمستخلصات أعسال الأعشاب ضد جميع الميكروبات ما عدا E. coli .المرجع[14]


بازدياد ظهور سلالات مقاومة للعقاقير أصبحت الحاجة لضمادات جروح فعالة حيوياً ملحة لعلاج الجروح المخموجة المزمنة. المواد المضادة للبكتريا الطبيعية المصدر مثل عسل المانوكا تتألف من خليط مواد، أكثر من واحد منها يمكن أن يؤثر كمضاد جرثومي. الخواص المؤثرة على البكتريا سوى البيروكسيد في عسل المانوكا عرف منذ أمد أنها ارتبطت بوجود الميثيل جليوكسال. لذا جرت تجربة إضافة مادة الميثيل جليوكسال المصنعة إلى الضمادات واختبرت على سلالات الـStaphylococcus aureus والـ Escherichia coli. لوحظت أقوى فعالية مضادة للبكتريا مع انتشار مادة الميثيل جليوكسال عند تركيز 1,55 مغ/سم2.[15]

في دراسة عن استعمال العسل في حالة التهاب العظم السنخي خلصت دراسة إلى أنه يمكن استعمال العسل كخيار في علاج السنخ الجاف Dry Socket. باستعمال التغطية بالعسل بعد العملية الجراحية حدث انخفاض ملحوظ في الالتهاب والازرقاق والتورم والنضح ، وهذا أدى لتخفيف وخفض الألم والانزعاج.[16]

أدى إشراك العسل مع الدواء المعتاد بعد عملية استئصال اللوزتين إلى خفض الألم وتقليل استهلاك الدواء وتقصير مدة العودة للغذاء العادي وتقليل عدد مرات الاستيقاظ بالليل.[17]


وفي دراسة على الفئران وجدت الكلية الملكية للباثولوجيا الأسترالية أن لعسل الغابات الماليزي (توالانج) تأثير مثبط على سرطان الثدي.[18]

وأخيراً اكتشفت بكتريا حمض اللبن متعايشة في نحل العسل لم تكن معروفة واعتبرت مفتاحاً لفعالية العسل العلاجية والمضادة للميكروبات. فمع ازدياد ظهور سلالات من البكتريا مقاومة للمضادات الحيوية ظهرت الحاجة لإيجاد وسائل وأنواع جديدة من المضادات الحيوية تتغلب على هذه السلالات. على رأس هذه الوسائل المواد الطبيعية. وقد استعمل العسل منذ آلاف السنين ضد الأخماج لدى الإنسان دون دليل علمي واضح. وقد اكتشفغنا بكتريا حمض لبن خاصة تتعايش مع نحل العسل وهي موجودة بكميات كبيرة في العسل الطازج في كل العالم. ولمعرفة هل هذه البكتريا هي العامل الذي يشارك في خواص العسل، قمنا باختبارها ضد ممرضات الجروح الصعبة مثل methicillin-resistant Staphylococcus aureus (MRSA), Pseudomonas aeruginosa و vancomycin-resistant Enterococcus (VRE) واخرى. وقد وجدنا فعالية قوية مضادة للميكروبات في كل مرة وتأثير فعال ضد كل الممرضات المختبرة. آلية التأثير تعود جزئياً لفعالية مركبات مثل بروتينات، أحماض دهنية، مزيلات ألم، أحماض عضوية، بيروكسيد الهيدروجين ومواد متطايرة تبقى في العسل الناضج بكميات مختلفة.[19]

الـمــراجــع:
1- European Food Research and Technology, December 2014, Volume 239, Issue 6, pp 1003-1014.
2- Drug Healthc Patient Saf. 2014 Oct 15.
3- Nottingham Post | November 04, 2014.
4- Telegraph, 10/15/2014.
5- Lydia Slater, The Australian, November 21, 2014.
6- NBR, 11/10/2104.
7- PLoS One. 2014 Oct 21;9(10):e108195.
8- Oxidative Medicine and Cellular Longevity Volume 2014 (2014), Article ID 673628, 8 pages.
9- Evid Based Complement Alternat Med. 2014;2014:169130.
10- October 30, 2014, Australia Researching Therapeutically Active Honey.
11- J Clin Diagn Res. 2014 Aug.
12- ljnjcal Triala.gov, October 25, 2014.
13- Voxy, 21 October, 2014.
14- Food Chem. 2015 Mar 15
15- J Biomater Appl. 2014 Oct 16.
16- Natl J Maxillofac Surg, 2014 Jan;5(1):31-4
17- International Journal of Pediatric Otorhinolaryngology, Volume 78, Issue 11, November 2014, Pages 1886–1889.
18- Pathology: October 2014 - Volume 46.
19- Int Wound J. 2014 Sep 8. doi: 10.1111/iwj.12345.

الدكتور أسامة عبد الرحمن
من كتاب نصائح طبيب

 
تاريخ النشر: 2008    
مسموح النقل من الموقع شريطة ذكر الموقع والمؤلف * www.na7la.com * منذ عام 2007